2025-06-25
Форекс арилжаачдын хувьд ханшийн хэлбэлзэл (volatility) бол зах зээлийн цохилт, хөдөлгөөний эрчмийг илэрхийлэгч үндсэн үзүүлэлт юм. Гэвч олон трейдер зөвхөн харагдаж буй candle-ийн хэмжээ эсвэл ATR индикатороор хэлбэлзлийг хэмжиж, цаад бүтцийг гүнзгий судалдаггүй.

Үнэн хэрэгтээ хэлбэлзэл бол:
Тиймээс ханшийн хэлбэлзлийг зөв тооцоолох нь эргэн өгөхгүй алдаа гаргахгүйгээр арилжаа хийх чадамжийг бий болгодог.
Тэгвэл GARCH болон ARCH загварууд нь энэ хэлбэлзлийг статистик үндэслэлтэйгээр тооцоолдог загваруудын суурь юм.
Ханшийн хэлбэлзэл дараах хоёр онцлогтой байдаг:
Жишээлбэл, NFP эсвэл FOMC-ийн дараа зах зээл өндөр эрчтэй хөдөлж, дараагийн өдөр нам жим болдог. Энэ “clustering” шинж чанарыг тооцоолох боломж нь GARCH загварын гол онцлог юм.
Энэхүү загварыг 1982 онд Robert Engle гаргаж ирсэн бөгөөд дараах логик дээр тулгуурладаг:
Ирээдүйн хэлбэлзэл нь өмнөх хугацааны өгөөжийн хэлбэлзлээс хамаарна.
Өөрөөр хэлбэл:

Тайлбар:
ARCH нь зөвхөн нэг хугацааны үлдэгдлийг ашигладаг тул огт гүн биш.
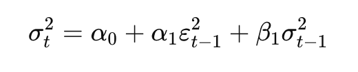
1990 онд Tim Bollerslev энэхүү загварыг ARCH дээр үндэслэн өргөтгөсөн. GARCH нь өмнөх хэлбэлзлийн утгыг мөн ашигладаг:

Энд:
GARCH загвар нь:
GARCH болон ARCH загваруудыг дараах зорилгоор ашиглаж болно:
Ирэх хоног, долоо хоногт зах зээл хэр их савлах вэ гэдгийг таамаглана. Энэ нь:
гэсэн шийдвэрт тусална.
CPI, FOMC, NFP зэрэг макро үзүүлэлтүүдийн дараах хэлбэлзлийн хурдыг загвараар тооцоолсноор:
гэх мэт арилжааны шийдвэр гаргах үндэслэл болдог.
Хэрэв таны систем цаг тутамд позицийн хэмжээ өөрчлөх шаардлагатай бол, GARCH-аар прогноз хийж, real-time volatility adaptation хийж болно.
Python-ийн arch номын сан ашиглан GARCH(1,1) загварын код дараах байдалтай байна:
from arch import arch_model
import pandas as pd
# Валютын ханшийн өгөгдөл
returns = pd.read_csv('eurusd_returns.csv') # % өгөөжийг оруулсан гэж үзье
returns = returns['return']
# GARCH(1,1) загвар тохируулж
model = arch_model(returns, vol='Garch', p=1, q=1)
model_fit = model.fit(disp='off')
# Хэлбэлзлийг таамаглах
forecast = model_fit.forecast(horizon=5)
print(forecast.variance[-1:])
Энэ нь ирэх 5 өдрийн хэлбэлзлийн таамаглалыг өгнө. Энэ прогнозыг ашиглан position size, stop loss-оо тохируулах боломжтой.
Тиймээс практикт GJR-GARCH, EGARCH, TARCH гэх мэт дэвшилтэт хувилбаруудыг ашигладаг.
Проп трейдинг орчинд дараах нөхцөл байдалд GARCH үр дүнтэй:
GARCH болон ARCH загварууд нь ханшийн хэлбэлзлийг статистик үндэстэй, боловсронгуй аргаар тооцоолох боломж олгодог. Энгийн индикатороос давсан ойлголт авахыг хүсвэл эдгээр загвар таны арилжааны ур чадварыг дараагийн түвшинд хүргэнэ.
Өнөөдрөөс эхлэн:

2026-04-13
Stop loss-ыг хаана байрлуулах ёстой вэ?
Stop-loss нь форексийн арилжааны хамгийн их яригддаг, хамгийн бага ойлгогддог хэрэгслийн нэг юм....

2026-04-10
Ашигтай арилжааны систем хэрхэн бүтээх вэ? Scalping vs swing vs day trading
Ашигтай арилжааны систем нь индикатор, хэрэгсэл биш, энэ нь шийдвэр гаргалтыг бүтэцжүүлсэн тогтолцоо....

2026-04-09
Overtrading гэж юу вэ? Хэрхэн түүнийг зогсоох вэ?
Мэргэжлийн арилжаачин болох гэдэг нь олон арилжаа хийх биш, харин тохиромжтой арилжаа хийх чадвар....

2026-04-07
Хөшүүрэг (leverage) гэж юу вэ? Давуу тал ба Эрсдэл
Хөшүүрэг нь таны данснаас өөр хэмжээний позиц барих боломжийг олгодог брокерийн нөхцөл бөгөөд 1:100....

2026-04-06
Трендийг хэрхэн зөв тодорхойлох вэ?
Тренд гэдэг нь зах зээлийн ерөнхий чиглэл юм. Гэхдээ энэ тодорхойлолт дангаараа хангалтгүй.....